-
이항 분포는 성공과 실패, 두 가지 결과만 나올 수 있는 실험에서 성공이 나올 확률을 나타내는 분포다.
그래서 2항이다.
즉, 어떤 실험을 여러 번 반복할 때, 그 실험에서 몇 번이나 성공할지를 확률적으로 예측하는 거다.
이항 분포는 아래와 같은 상황에서 사용된다.
- 실험이 n번 반복된다. 예를 들어, 동전을 10번 던지거나, 시험을 여러 번 치르는 상황처럼
- 각 실험에서 두 가지 결과만 있다. 성공 또는 실패. 예를 들어, 동전 던지기에서 앞면이 나오면 성공, 뒷면이 나오면 실패로 본다거나
- 매번 성공할 확률이 동일하다. 예를 들어, 동전을 던질 때마다 앞면이 나올 확률이 50%로 일정해야 한다.
이항 분포를 표현하는 공식은 다음과 같다.

n은 실험의 총 횟수 (예: 동전 던지기 10번)
x는 성공 횟수 (예: 동전 던지기에서 앞면이 3번 나올 확률을 구하려면 x = 3)
p는 한 번의 실험에서 성공할 확률 (예: 동전 던질 때 앞면이 나올 확률 p = 1/2)
1 - p는 실패할 확률
(n
x)는 n번 중 x번 성공할 수 있는 경우의 수를 나타내는 조합 공식이다.
이 수식을 보면, 이항 분포는 성공할 확률과 실패할 확률을 모두 고려해서, 주어진 실험에서 몇 번 성공할지를 확률적으로 계산하는 거다.
이항 분포의 예시를 살펴보자
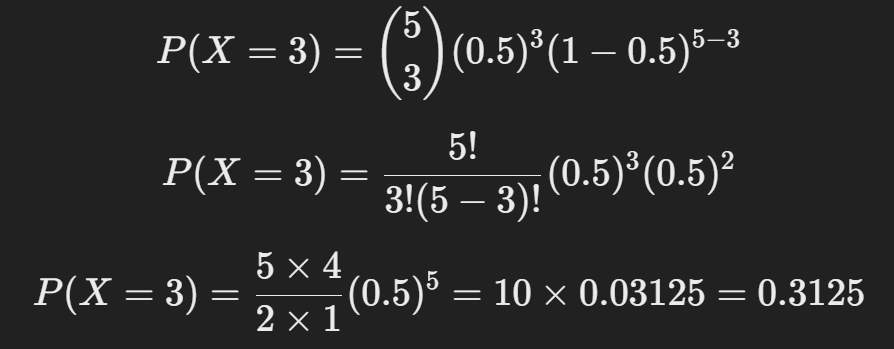
동전을 5번 던질 때, 앞면이 3번 나올 확률을 계산해보자.
이때, n = 5, x = 3, 그리고 앞면이 나올 확률은 0.5(p)라고 할 수 있다.
공식에 대입해보면

즉, 동전을 5번 던졌을 때 앞면이 3번 나올 확률은 약 31.25%다.
다음은 현실의 예시를 가져왔다
어떤 회사가 직원 유지율이 90%라고 하자. 즉, 직원 한 명이 다음 해에도 회사를 떠나지 않을 확률이 90%다.
만약 3명의 직원을 뽑아서 그들이 모두 다음 해에 남아있을 확률을 구해보면, 이항 분포를 사용해 쉽게 계산할 수 있다.
n = 3
p = 0.9
x = 3
이를 이용하면

즉, 3명의 직원이 모두 회사를 떠나지 않고 남아 있을 확률은 약 72.9%다.
이항 분포는 경영, 경제, 그리고 통계학에서 매우 중요한 도구다.
특히, 어떤 일이 여러 번 반복될 때 성공이 몇 번 나올지 예측하는 데 유용하다.
예를 들어 100명이 광고를 본 후, 몇 명이 제품을 구매할지 예측할 때나 제품 10개 중 몇 개가 불량일 확률을 계산할 때 유용하다.
'경제' 카테고리의 다른 글
베르누이 분포 (0) 2024.09.29 초기하 분포와 포아송 분포 (3) 2024.09.20 기대값과 분산 (1) 2024.09.20 랜덤 변수의 개념과 이산 확률 분포 (0) 2024.09.20 상관관계(Correlation)와 인과관계(Causation)의 차이 (0) 2024.09.14